優質的服務流程
· quality of service processes ·

需求溝通傾聽客戶需求,了解用戶使用環境和現場工況
方案設計根據現場實際工況,針對性出具解決方案
合同簽訂技術和商務規范確認,簽訂合作協議
產品制作選擇最優質的元器件,嚴格按照技術協議
調試安裝現場規范安裝,靜態動態調試,分析儀運行
售后服務后續維護,持續跟進,終身維修

全國熱線
銷售熱線
公司地址山(shan)東濟南市槐蔭區太平河南路(lu)1567號(hao)均(jun)和云(yun)谷濟南匯智(zhi)港6號(hao)樓
為(wei)了(le)(le)研(yan)究燒(shao)結煙氣污(wu)染物(wu)排(pai)放(fang)(fang)的定量指(zhi)標,分(fen)析了(le)(le)現有燒(shao)結機(ji)大氣污(wu)染物(wu)排(pai)放(fang)(fang)標準中存在(zai)的問題(ti)及標準發展趨(qu)勢,提出(chu)了(le)(le)兩種污(wu)染物(wu)排(pai)放(fang)(fang)的計(ji)(ji)算(suan)(suan)(suan)(suan)方(fang)法,一(yi)種為(wei)折氧濃度(du)計(ji)(ji)算(suan)(suan)(suan)(suan)法,另一(yi)種為(wei)噸(dun)礦(kuang)計(ji)(ji)算(suan)(suan)(suan)(suan)法,分(fen)別從污(wu)染物(wu)排(pai)放(fang)(fang)濃度(du)、排(pai)放(fang)(fang)強度(du)兩個方(fang)面(mian)給出(chu)了(le)(le)污(wu)染物(wu)排(pai)放(fang)(fang)的計(ji)(ji)算(suan)(suan)(suan)(suan);同時(shi)(shi),在(zai)噸(dun)礦(kuang)計(ji)(ji)算(suan)(suan)(suan)(suan)法的基(ji)礎(chu)上(shang),提出(chu)了(le)(le)一(yi)個區域在(zai)特(te)殊時(shi)(shi)期需(xu)要對本(ben)區域鋼(gang)鐵企業限產時(shi)(shi)所需(xu)要精(jing)確(que)計(ji)(ji)算(suan)(suan)(suan)(suan)的限產方(fang)案計(ji)(ji)算(suan)(suan)(suan)(suan)方(fang)法,運用這一(yi)方(fang)法可(ke)以精(jing)確(que)計(ji)(ji)算(suan)(suan)(suan)(suan)出(chu)每一(yi)臺燒(shao)結機(ji)的減產比例,不會出(chu)現一(yi)刀切(qie)的現象(xiang)。
這一方法的(de)應用將有利(li)于促進(jin)企業提(ti)高自身清潔生產水(shui)(shui)平(ping),有利(li)于清潔生產水(shui)(shui)平(ping)高的(de)企業少限(xian)產,而(er)清潔生產水(shui)(shui)平(ping)低(di)的(de)企業多限(xian)產。
燒(shao)結(jie)(jie)作(zuo)為長流程(cheng)鋼鐵(tie)企(qi)業(ye)主要的生產(chan)工序(xu)之一,在(zai)中國企(qi)業(ye)中,燒(shao)結(jie)(jie)負擔(dan)著高爐70%以上的含鐵(tie)原料的供應,是生產(chan)流程(cheng)中不可或缺的重要一環。但是,燒(shao)結(jie)(jie)又(you)是鋼鐵(tie)企(qi)業(ye)污染物排(pai)放量(liang)最(zui)大的工序(xu),其顆粒物、SO2、NOx等排(pai)放量(liang)分別占(zhan)到(dao)鋼鐵(tie)企(qi)業(ye)總排(pai)放量(liang)的約20%、70%和(he)50%。
燒結煙(yan)(yan)(yan)(yan)氣(qi)(qi)(處(chu)理(li)前的初始(shi)煙(yan)(yan)(yan)(yan)氣(qi)(qi))的主(zhu)要特點是(其中部分(fen)數據(ju)(ju)為(wei)(wei)作者實際檢測數據(ju)(ju)):煙(yan)(yan)(yan)(yan)氣(qi)(qi)量(liang)(liang)(liang)(liang)(liang)大(da)(da),噸礦的工況煙(yan)(yan)(yan)(yan)氣(qi)(qi)量(liang)(liang)(liang)(liang)(liang)為(wei)(wei)3000~5000m3,標準狀態下(xia)干煙(yan)(yan)(yan)(yan)氣(qi)(qi)流(liu)量(liang)(liang)(liang)(liang)(liang)為(wei)(wei)2000~3500m3;煙(yan)(yan)(yan)(yan)氣(qi)(qi)溫度變化(hua)范(fan)圍大(da)(da),一般(ban)(ban)為(wei)(wei)120~180℃;煙(yan)(yan)(yan)(yan)氣(qi)(qi)含(han)(han)(han)濕量(liang)(liang)(liang)(liang)(liang)和含(han)(han)(han)氧(yang)量(liang)(liang)(liang)(liang)(liang)高,含(han)(han)(han)濕量(liang)(liang)(liang)(liang)(liang)為(wei)(wei)7%~13%,含(han)(han)(han)氧(yang)量(liang)(liang)(liang)(liang)(liang)(氧(yang)體(ti)(ti)積(ji)分(fen)數)為(wei)(wei)15%~18%;粉塵含(han)(han)(han)量(liang)(liang)(liang)(liang)(liang)高,質(zhi)量(liang)(liang)(liang)(liang)(liang)濃(nong)度一般(ban)(ban)為(wei)(wei)1~15g/m3;SO2質(zhi)量(liang)(liang)(liang)(liang)(liang)濃(nong)度大(da)(da),一般(ban)(ban)為(wei)(wei)800~2500mg/m3;NOx質(zhi)量(liang)(liang)(liang)(liang)(liang)濃(nong)度相對穩定,一般(ban)(ban)為(wei)(wei)200~400mg/m3;CO質(zhi)量(liang)(liang)(liang)(liang)(liang)濃(nong)度高,一般(ban)(ban)為(wei)(wei)4000~8000mg/m3;氣(qi)(qi)體(ti)(ti)成分(fen)復(fu)雜(za),煙(yan)(yan)(yan)(yan)氣(qi)(qi)中含(han)(han)(han)HCl、HF、汞、多環芳烴、二噁英、重金(jin)屬等(deng)。
針對(dui)燒(shao)結機(ji)排(pai)放(fang)的(de)(de)(de)(de)特(te)點,中國在2012年重新修訂了《鋼鐵燒(shao)結、球團工業大氣污(wu)染(ran)物排(pai)放(fang)標(biao)(biao)準(zhun)》(GB28662—2012),此標(biao)(biao)準(zhun)中的(de)(de)(de)(de)特(te)別排(pai)放(fang)限值均高于(yu)發達國家(jia)相關的(de)(de)(de)(de)排(pai)放(fang)標(biao)(biao)準(zhun),在這一標(biao)(biao)準(zhun)的(de)(de)(de)(de)執(zhi)行過程中,大部分企業對(dui)燒(shao)結煙(yan)氣都進(jin)行了煙(yan)氣除(chu)塵(chen)和脫(tuo)硫(liu)(liu)的(de)(de)(de)(de)改(gai)造,而煙(yan)氣中NOx基本都能達到標(biao)(biao)準(zhun)要求,因此,2014年前99%以上的(de)(de)(de)(de)燒(shao)結機(ji)都沒(mei)有單獨(du)的(de)(de)(de)(de)脫(tuo)硝(xiao)設施,個別脫(tuo)硫(liu)(liu)設施在脫(tuo)硫(liu)(liu)過程中有少量的(de)(de)(de)(de)NOx脫(tuo)除(chu)的(de)(de)(de)(de)效果。
隨著(zhu)環保政策日趨嚴格,NOx逐漸引起(qi)了重(zhong)視(shi),同(tong)時(shi)對粉塵、SO2的排放要求(qiu)(qiu)也越來越嚴,從國(guo)家到地方已經提(ti)出了相應的新標準征求(qiu)(qiu)意見,這就促使企業不(bu)得(de)不(bu)在燒結機的環保改造、增加(jia)(jia)脫硝(xiao)設施(shi)等方面(mian)加(jia)(jia)大投入,以滿足(zu)環保的新要求(qiu)(qiu)。
由于(yu)燒(shao)結機最新的(de)排放(fang)(fang)標準還沒有正式出(chu)臺,僅有一些征求意見提(ti)出(chu)了更加(jia)嚴格的(de)標準,本文將在分(fen)析現有標準、標準發展趨勢(shi)及(ji)現有檢測中的(de)注意事(shi)項和問題的(de)基(ji)礎上(shang),提(ti)出(chu)兩種(zhong)合理計算燒(shao)結煙氣(qi)污染物排放(fang)(fang)的(de)計算方(fang)(fang)法(fa)(fa),并應用計算方(fang)(fang)法(fa)(fa)提(ti)出(chu)了指(zhi)導相關地區采(cai)暖(nuan)季(ji)對鋼鐵企業進行限產(chan)的(de)方(fang)(fang)案計算方(fang)(fang)法(fa)(fa),量化(hua)上(shang)幫(bang)助政府指(zhi)導限產(chan)。
1燒結煙氣的排放標(biao)準及(ji)檢測
1.1排放標準及(ji)趨勢(shi)
現(xian)行的(de)(de)燒(shao)結煙氣的(de)(de)排(pai)(pai)(pai)放標準(zhun)是《鋼鐵燒(shao)結、球團工業(ye)大氣污染物(wu)排(pai)(pai)(pai)放標準(zhun)》(GB28662—2012),這一標準(zhun)盡管剛(gang)發布了6年,即使(shi)是其中(zhong)最嚴的(de)(de)特(te)別(bie)排(pai)(pai)(pai)放限(xian)值也已經無法滿足區(qu)域空氣環境(jing)質量的(de)(de)要求,特(te)別(bie)是環境(jing)問題突出的(de)(de)地區(qu),出現(xian)了政府(fu)要求排(pai)(pai)(pai)放達標(滿足現(xian)有(you)標準(zhun))的(de)(de)鋼鐵企業(ye)限(xian)產、停產的(de)(de)現(xian)象,嚴重影響(xiang)企業(ye)正常(chang)的(de)(de)生(sheng)產秩序。
因此(ci),環保部在2017年(nian)發布(bu)了“關于征求(qiu)《鋼鐵(tie)燒結、球團工業大氣污染物排放(fang)標(biao)準》等20項(xiang)國家污染物排放(fang)標(biao)準修(xiu)改單(征求(qiu)意(yi)(yi)見(jian)(jian)稿)意(yi)(yi)見(jian)(jian)的(de)函”,提(ti)出了對現(xian)有標(biao)準的(de)修(xiu)改意(yi)(yi)見(jian)(jian)。
2018年5月7日,生態環境部(bu)發布“關于征(zheng)求《鋼(gang)鐵(tie)企業超(chao)低排(pai)(pai)放改造工作方案(征(zheng)求意(yi)見稿)》意(yi)見的(de)(de)函”,其中提(ti)出了燒結煙(yan)氣超(chao)低排(pai)(pai)放的(de)(de)限值以及(ji)鋼(gang)鐵(tie)企業實施超(chao)低排(pai)(pai)放的(de)(de)步驟。
而(er)擁有全國最大鋼(gang)鐵產能的河北省在2018年(nian)也發布(bu)了(le)“關于征求《鋼(gang)鐵工業大氣污染(ran)物超(chao)低排(pai)放標準》等5項地方環保標準意見的函”,其中對河北省的燒結煙氣限(xian)值也提出了(le)具體的要求。
各個標準及征求(qiu)意見(jian)的相關(guan)排(pai)放限(xian)值(zhi)見(jian)表1。
表1燒結污染物排放的相關標準及征(zheng)求意(yi)見

從(cong)表1的(de)(de)數據(ju)可以看出,燒(shao)結煙氣污(wu)染(ran)物(wu)的(de)(de)排放標準有越來越嚴格(ge)的(de)(de)趨勢,重(zhong)點體(ti)(ti)現(xian)在(zai)(zai)顆粒物(wu)、SO2和NOx三個項目上,但是現(xian)有標準和各(ge)個征求意見還存在(zai)(zai)一些(xie)不足,主要體(ti)(ti)現(xian)在(zai)(zai):
(1)基(ji)準氧(yang)的(de)問(wen)題。
現有標(biao)準(zhun)(GB28662—2012)最大(da)的(de)問題是(shi)沒有規定基準(zhun)氧,沒有基準(zhun)氧的(de)污(wu)染(ran)物濃度(du)是(shi)沒有可比較性(xing)的(de),也不(bu)能(neng)反映燒結機實(shi)際的(de)排放(fang)情況(kuang),尤其是(shi)燒結機漏風會造成污(wu)染(ran)物濃度(du)稀(xi)釋(shi),這一點在(zai)國(guo)家兩個征求意見中(zhong)都有體(ti)現,這也預示著下一個燒結煙氣污(wu)染(ran)物排放(fang)的(de)正式(shi)標(biao)準(zhun)將會考(kao)慮(lv)煙氣中(zhong)基準(zhun)氧的(de)限定。
(2)部分(fen)限定的污染物無(wu)檢測或(huo)檢測很少。
其中(zhong)規定(ding)的氟化物(wu)、二(er)噁(wu)英(ying)等基本(ben)沒有(you)檢測(ce)(ce),尤其是99%以(yi)上燒結(jie)機(ji)從來沒有(you)檢測(ce)(ce)過(guo)二(er)噁(wu)英(ying),主要是因為檢測(ce)(ce)成本(ben)太(tai)高、周期(qi)太(tai)長(chang)、影響因素(su)較多(duo),因此,在(zai)這(zhe)些實際條件(jian)下,現有(you)的這(zhe)兩(liang)個標準限值基本(ben)被忽(hu)略,對企業沒有(you)約束(shu)。
(3)部分(fen)污(wu)染(ran)物沒有排(pai)放(fang)規定。
比如:燒結煙氣(qi)中含(han)有(you)(you)大(da)量(liang)的CO,煙氣(qi)中CO質量(liang)濃(nong)度平均(jun)在(zai)5000mg/m3以上(shang),排放量(liang)遠(yuan)大(da)于其他氣(qi)體污(wu)染(ran)物的總和,而現(xian)有(you)(you)標準(zhun)及征求意見都沒有(you)(you)提到這一檢(jian)測項;燒結煙氣(qi)中含(han)有(you)(you)一定(ding)的揮發性有(you)(you)機物(VOCs)、汞等污(wu)染(ran)物,但(dan)標準(zhun)中也(ye)沒有(you)(you)涉及;標準(zhun)及征求意見中都提到了顆(ke)粒物的排放限值,但(dan)對顆(ke)粒物中危(wei)害(hai)最大(da)的細顆(ke)粒物(PM2.5)沒有(you)(you)規定(ding)。
(4)沒有(you)排放強度和排放總量的標準。
現有標準(zhun)和(he)征求意見僅限制(zhi)了排放濃度,但是對(dui)燒結機的(de)排放總(zong)量、噸產品排放強(qiang)度沒有規(gui)定,而這方面(mian)(mian)的(de)規(gui)定和(he)標準(zhun)對(dui)管理部門(men)應對(dui)區域(yu)污(wu)染物排放總(zong)量的(de)控制(zhi)具有很大的(de)指導作用。由于燒結煙氣的(de)成(cheng)分組(zu)成(cheng)與燒結生產過(guo)程,特別是原料、設備、操作等(deng)(deng)都密切相關,標準(zhun)的(de)制(zhi)定需要考(kao)慮實際技(ji)術水平、污(wu)染物檢測可行性和(he)全面(mian)(mian)性等(deng)(deng)問題(ti)。
1.2污染物(wu)檢測(ce)
根據環保的要求,國內燒結機的煙氣排放口基本都安裝了在線的煙氣監測系統,并且實時檢(jian)測數據可以聯(lian)網查(cha)詢,這也極大(da)地(di)約(yue)束了企業的(de)(de)生產行(xing)為。在污(wu)染(ran)物檢(jian)測過程中還(huan)需要(yao)明確以下兩個(ge)方面的(de)(de)內容。
(1)污染(ran)物的(de)檢測條件。
在檢(jian)測、使用數據(ju)的(de)(de)過(guo)程(cheng)中(zhong)(zhong),首先需(xu)要明確煙氣(qi)檢(jian)測的(de)(de)條(tiao)件,根(gen)據(ju)現有的(de)(de)煙氣(qi)污染(ran)物(wu)排放標準(zhun)中(zhong)(zhong)提(ti)到的(de)(de)污染(ran)物(wu)檢(jian)測標準(zhun),儀器檢(jian)測得到的(de)(de)污染(ran)物(wu)濃度(du)都(dou)是基于標準(zhun)狀態下(xia)(xia)干煙氣(qi)(指溫度(du)為273.15K、壓力為101325Pa條(tiao)件下(xia)(xia)不含水的(de)(de)煙氣(qi))中(zhong)(zhong)的(de)(de)污染(ran)物(wu)濃度(du),而(er)不是工況下(xia)(xia)的(de)(de)污染(ran)物(wu)濃度(du),即煙氣(qi)在檢(jian)測前(qian)首先要進行預(yu)處理(包括除(chu)塵、除(chu)濕、冷卻等),再經過(guo)傳感器測定污染(ran)物(wu)濃度(du)。
因此(ci),在計算(suan)某一(yi)企業(ye)(ye)或者(zhe)某一(yi)工序(xu)過(guo)程污染(ran)物排放總(zong)量(liang)時,一(yi)定要選擇標準狀態下干煙氣流量(liang)計算(suan),而不是企業(ye)(ye)通常用到的工況流量(liang)。
(2)現有在(zai)(zai)線檢測存在(zai)(zai)的問題。
1)檢(jian)(jian)測存在(zai)空(kong)(kong)白(bai)區。一般企業都具有(you)(you)SO2、NOx及顆粒物的(de)在(zai)線檢(jian)(jian)測,個別(bie)企業安裝了CO濃度的(de)檢(jian)(jian)測設備,其他(ta)污(wu)染(ran)物在(zai)線(或離線)檢(jian)(jian)測幾乎沒有(you)(you),即使(shi)標準中有(you)(you)限制,但沒有(you)(you)檢(jian)(jian)測也沒有(you)(you)約束力,所以沒有(you)(you)檢(jian)(jian)測的(de)污(wu)染(ran)物成(cheng)為檢(jian)(jian)測空(kong)(kong)白(bai)區。
2)儀(yi)(yi)器(qi)校(xiao)準(zhun)(zhun)不規(gui)范(fan)。無論使用哪種檢測方(fang)法,國家標準(zhun)(zhun)中(zhong)對儀(yi)(yi)器(qi)的(de)校(xiao)準(zhun)(zhun)頻(pin)率都有相應的(de)規(gui)定,如采用非分散紅外吸收法檢測煙(yan)氣中(zhong)SO2的(de)儀(yi)(yi)器(qi),要求(qiu)至少3個(ge)月進行一次校(xiao)準(zhun)(zhun)。但在實(shi)際(ji)使用過程中(zhong),儀(yi)(yi)器(qi)管理(li)方(fang)很(hen)少有能按照規(gui)范(fan)校(xiao)準(zhun)(zhun)的(de),這就(jiu)造成了儀(yi)(yi)器(qi)檢測值的(de)偏差存在,不利于環保部門的(de)監管。
3)儀(yi)器(qi)(qi)使(shi)用(yong)(yong)不規(gui)范(fan)。檢(jian)(jian)測(ce)儀(yi)器(qi)(qi)的(de)(de)(de)(de)使(shi)用(yong)(yong)過程(cheng)中都存在(zai)(zai)相應(ying)的(de)(de)(de)(de)檢(jian)(jian)測(ce)范(fan)圍(wei)、適應(ying)氣體環境,比如SO2的(de)(de)(de)(de)檢(jian)(jian)測(ce)過程(cheng)中,一般(ban)常用(yong)(yong)的(de)(de)(de)(de)定(ding)電位(wei)(wei)電解法的(de)(de)(de)(de)便攜式儀(yi)器(qi)(qi)進行污染源的(de)(de)(de)(de)定(ding)期(隨(sui)機)抽檢(jian)(jian),在(zai)(zai)燒結(jie)(jie)煙氣檢(jian)(jian)測(ce)中,由于煙氣中CO含量高,其(qi)含量對SO2檢(jian)(jian)測(ce)具(ju)有一定(ding)的(de)(de)(de)(de)干(gan)擾性,使(shi)用(yong)(yong)前必須對儀(yi)器(qi)(qi)進行相關CO的(de)(de)(de)(de)干(gan)擾試驗,只有在(zai)(zai)檢(jian)(jian)測(ce)濃度(du)范(fan)圍(wei)內的(de)(de)(de)(de)合格儀(yi)器(qi)(qi)才能使(shi)用(yong)(yong),而現(xian)用(yong)(yong)的(de)(de)(de)(de)大部分定(ding)電位(wei)(wei)電解法的(de)(de)(de)(de)便攜式儀(yi)器(qi)(qi)都沒有這方(fang)面的(de)(de)(de)(de)干(gan)擾試驗,檢(jian)(jian)測(ce)結(jie)(jie)果可能出現(xian)偏差,因此,國家也出臺了(le)相應(ying)的(de)(de)(de)(de)標準來(lai)規(gui)范(fan)定(ding)電位(wei)(wei)電解法儀(yi)器(qi)(qi)進行CO干(gan)擾試驗的(de)(de)(de)(de)要(yao)求。
2計(ji)算(suan)方(fang)法(fa)
2.1折氧濃度(du)計(ji)算法
燒結、球團(tuan)煙(yan)氣排放的正式標準(zhun)(GB28662—2012)沒有提到關于檢測過程(cheng)中基準(zhun)含氧(yang)量(liang)的問題,所以在兩(liang)個征(zheng)求意見(jian)中提到以后對污染物濃度進行16%的折(zhe)氧(yang)計算。
根據《火電廠大(da)(da)氣(qi)(qi)污染物排(pai)放標準》(GB13223—2011)中(zhong)對(dui)(dui)污染物排(pai)放標準,不僅看其(qi)煙氣(qi)(qi)的(de)(de)檢測濃度,而且需要(yao)對(dui)(dui)濃度進行折(zhe)氧計算(suan)(suan),這(zhe)樣(yang)更有利于對(dui)(dui)排(pai)放污染物的(de)(de)檢測、比(bi)較。如果(guo)燒(shao)結(jie)煙氣(qi)(qi)中(zhong)的(de)(de)污染物排(pai)放標準能夠采用(yong)這(zhe)一標準,則是對(dui)(dui)現有標準的(de)(de)巨大(da)(da)改(gai)進,具體折(zhe)氧濃度計算(suan)(suan)法表(biao)達(da)式(shi)見式(shi)(1)。

2.2噸礦計算法
煙氣中污染物(wu)濃度的檢(jian)測(ce)只能說明其煙氣的排放(fang)濃度是否超(chao)標,但對于總的污染物(wu)的排放(fang)如(ru)何控制將(jiang)是每個(ge)企業(ye)、每個(ge)地區甚至整(zheng)個(ge)國(guo)家需(xu)要考慮的問題,就如(ru)同降低(di)噸鋼(gang)二氧(yang)化碳排放(fang),降低(di)單位產品(pin)的污染物(wu)排放(fang)量將(jiang)是整(zheng)個(ge)行業(ye)發展的根本方向。
目前,在噸產(chan)品污(wu)(wu)(wu)染(ran)物計算(suan)方面,主要關于污(wu)(wu)(wu)染(ran)物的(de)(de)排放(fang)系(xi)(xi)數或因(yin)(yin)子的(de)(de)計算(suan),中國也(ye)已經編制(zhi)了相(xiang)關產(chan)業污(wu)(wu)(wu)染(ran)物排放(fang)系(xi)(xi)數,歐美(mei)等發達國家也(ye)有相(xiang)關污(wu)(wu)(wu)染(ran)物因(yin)(yin)子的(de)(de)提(ti)法(fa),這(zhe)些方法(fa)都是(shi)將(jiang)污(wu)(wu)(wu)染(ran)物排放(fang)歸一到噸產(chan)品的(de)(de)排放(fang)量上,但以上系(xi)(xi)數或因(yin)(yin)子的(de)(de)計算(suan)方法(fa)更復雜(za),實施性不強。
對(dui)于燒(shao)結工(gong)序,噸礦(指成品礦,以下(xia)相同)的污染物排(pai)放降(jiang)低(di),體現(xian)了噸礦污染物排(pai)放強度降(jiang)低(di),綠色化程度更高,生產(chan)水平(ping)更高,企業(ye)競爭力更強。對(dui)于一個企業(ye),評價(jia)其燒(shao)結過程清(qing)潔生產(chan)水平(ping)可用噸礦污染物排(pai)放量計(ji)算,見式(2)。



從(cong)E值(zhi)中可以(yi)(yi)看(kan)到每臺燒(shao)(shao)結(jie)(jie)(jie)不(bu)同污染物的(de)(de)噸礦排(pai)放(fang)量,直接可以(yi)(yi)看(kan)出不(bu)同燒(shao)(shao)結(jie)(jie)(jie)機、不(bu)同污染物的(de)(de)噸礦排(pai)放(fang)量,不(bu)同燒(shao)(shao)結(jie)(jie)(jie)機針對同一污染物的(de)(de)排(pai)放(fang)對比,也可以(yi)(yi)看(kan)出不(bu)同燒(shao)(shao)結(jie)(jie)(jie)機各個污染物的(de)(de)排(pai)放(fang)水平,對于進行燒(shao)(shao)結(jie)(jie)(jie)機污染物排(pai)放(fang)的(de)(de)對比及(ji)燒(shao)(shao)結(jie)(jie)(jie)機清潔生(sheng)產水平的(de)(de)評價很有意義。
如果要用一個數(shu)據來評價(jia)一臺燒結機污(wu)(wu)染物(wu)的排放(fang)強(qiang)度(du),則需要對每個污(wu)(wu)染物(wu)的噸(dun)礦排放(fang)量乘以一個排放(fang)強(qiang)度(du)系數(shu),具體(ti)表達式(shi)見式(shi)(7)。


燒結機噸礦排放(fang)(fang)(fang)強度(du)的提出(chu),對于監(jian)管部門(men)來評價一個企(qi)業(ye)(ye)的環保水(shui)平(ping)至關重要,監(jian)管部門(men)不(bu)僅通過排放(fang)(fang)(fang)的檢測數據來規范(fan)企(qi)業(ye)(ye)的排放(fang)(fang)(fang),即通過式(shi)(shi)(1)在線監(jian)控(kong)企(qi)業(ye)(ye)的污染(ran)物排放(fang)(fang)(fang)濃度(du);同(tong)時也(ye)能(neng)通過式(shi)(shi)(2)和(he)式(shi)(shi)(7)從噸礦排放(fang)(fang)(fang)量、排放(fang)(fang)(fang)強度(du)上監(jian)測企(qi)業(ye)(ye)的排放(fang)(fang)(fang)水(shui)平(ping)和(he)排放(fang)(fang)(fang)量。
針對不(bu)同的(de)時間段(duan)對不(bu)同企(qi)業(ye)(ye)(ye)實施(shi)限產政策(ce),可以(yi)使用以(yi)上計算(suan)方法(fa)幫(bang)助政府(fu)制定“一企(qi)一策(ce)”可量化的(de)政策(ce),政府(fu)和環保部門也(ye)可以(yi)在企(qi)業(ye)(ye)(ye)污(wu)染(ran)物(wu)排放(fang)濃度達標(biao)的(de)基礎上,給企(qi)業(ye)(ye)(ye)年度排放(fang)額度,利(li)用以(yi)上計算(suan)方法(fa)從污(wu)染(ran)物(wu)排放(fang)總量限制企(qi)業(ye)(ye)(ye)的(de)排放(fang)。
3計算方法應用分析
3.1折氧濃度計算法(fa)應用
本(ben)示例按照2018年河北省(sheng)《鋼鐵工業大氣(qi)污染(ran)物超(chao)低排放(fang)標準》(征(zheng)求意見(jian)稿)中排放(fang)濃度標準,以A、B、C三臺燒結機為例,其各自的煙氣(qi)排放(fang)數據及折氧后數據分(fen)別見(jian)表(biao)(biao)2和表(biao)(biao)3。
表2燒結機排放煙氣的檢測(ce)數據(ju)

表3燒結機(ji)排放(fang)煙氣折氧計算(suan)后數據

從表2的數(shu)(shu)據(ju)(ju)看,如果(guo)檢測數(shu)(shu)據(ju)(ju)沒有折氧(yang)計算(suan),按(an)照(zhao)標(biao)準(zhun)A、B兩臺燒(shao)結(jie)(jie)(jie)機(ji)(ji)的排放濃(nong)(nong)度均達到(dao)排放標(biao)準(zhun),而(er)C燒(shao)結(jie)(jie)(jie)機(ji)(ji)SO2和(he)(he)NOx都超出了(le)標(biao)準(zhun),屬(shu)于(yu)不達標(biao);但是,如果(guo)考慮(lv)16%折氧(yang)條件(jian),則根據(ju)(ju)式(1)計算(suan)后(hou)的排放濃(nong)(nong)度見表3,可以看出,折氧(yang)后(hou)A燒(shao)結(jie)(jie)(jie)機(ji)(ji)的SO2、NOx和(he)(he)顆粒物3個濃(nong)(nong)度均超標(biao),屬(shu)于(yu)完(wan)全(quan)不達標(biao)排放的燒(shao)結(jie)(jie)(jie)機(ji)(ji),B燒(shao)結(jie)(jie)(jie)機(ji)(ji)NOx未(wei)達標(biao),而(er)C燒(shao)結(jie)(jie)(jie)機(ji)(ji)污(wu)染物排放濃(nong)(nong)度則是全(quan)達標(biao)。
如此看來,煙氣排放污(wu)染物濃度的折(zhe)氧與不折(zhe)氧可能會出現(xian)不同的結論。
以上案例(li)說(shuo)明,單獨從直接(jie)排(pai)放(fang)的(de)污染(ran)物(wu)濃度進行比(bi)較,各(ge)個(ge)燒(shao)(shao)結(jie)機(ji)(ji)沒(mei)有比(bi)較的(de)基準(zhun)(zhun)(zhun),且可(ke)以通過人為手段達(da)到要求的(de)排(pai)放(fang)標準(zhun)(zhun)(zhun);但是,如果(guo)有折氧(yang)標準(zhun)(zhun)(zhun),則每(mei)個(ge)燒(shao)(shao)結(jie)機(ji)(ji)的(de)污染(ran)物(wu)排(pai)放(fang)就(jiu)有可(ke)比(bi)較性,這一比(bi)較有利(li)于促進企業提高技術(shu)和管理水平,包括降低(di)燒(shao)(shao)結(jie)機(ji)(ji)漏(lou)風(feng)率(lv)、降低(di)燃料消耗、提高污染(ran)物(wu)減排(pai)效率(lv)等。
因此(ci),燒(shao)結煙氣污(wu)染物(wu)排放濃度采用折氧計算的(de)方(fang)法更科學、更具(ju)有對(dui)比性。
3.2噸礦計(ji)算(suan)法應用
3.2.1限產方(fang)案計(ji)算方(fang)法
噸礦計算(suan)法(fa)(fa)(fa)可(ke)以(yi)最直接地看清楚每一臺燒結(jie)機的(de)排(pai)(pai)放強度,同(tong)時(shi),利用(yong)噸礦計算(suan)法(fa)(fa)(fa)也(ye)可(ke)以(yi)指導政府部門制定合理(li)的(de)減排(pai)(pai)生產方案(an)。假設在采暖季,要(yao)求本區(qu)域的(de)鋼(gang)鐵企業(ye)(ye)燒結(jie)機污染物減排(pai)(pai)達到C%,最簡(jian)單的(de)一刀切(qie)做法(fa)(fa)(fa)是(shi)讓(rang)每個企業(ye)(ye)的(de)每臺燒結(jie)機產量都降(jiang)低(di)C%,但是(shi)這種(zhong)方法(fa)(fa)(fa)既不科(ke)學也(ye)會扼殺企業(ye)(ye)實(shi)施超低(di)排(pai)(pai)放的(de)動力。
合理的做(zuo)法應(ying)該是讓F值(zhi)低(di)的企業(ye)少減產(chan)或不減產(chan),而讓F值(zhi)高的企業(ye)多減產(chan)或停產(chan)。以(yi)下給出了一(yi)種基于噸礦計算法的企業(ye)限產(chan)方(fang)案(an)計算方(fang)法。




3.2.2舉例應用
選(xuan)擇(ze)兩個企(qi)業(ye)的6臺燒(shao)結(jie)機(ji)為對(dui)象,選(xuan)取燒(shao)結(jie)機(ji)排(pai)放(fang)的污染物為SO2、NOx和(he)顆粒物。前提是所有(you)燒(shao)結(jie)機(ji)的污染物排(pai)放(fang)濃度都達到(dao)標準要(yao)求,按照征求意(yi)見中排(pai)放(fang)標準,燒(shao)結(jie)機(ji)的生產及排(pai)放(fang)基礎數據見表(biao)4。
表4燒結機(ji)生產及(ji)排放基礎(chu)數據

從(cong)表(biao)4中(zhong)的數(shu)據可以(yi)(yi)得出以(yi)(yi)下數(shu)據



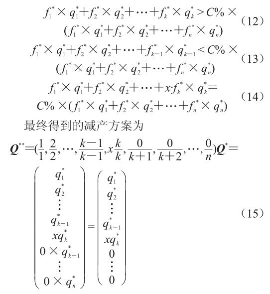
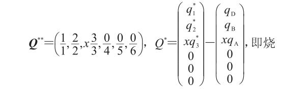
假設在(zai)采(cai)暖季要求(qiu)(qiu)本(ben)區域的鋼(gang)鐵企(qi)業(ye)燒結(jie)機污(wu)染物減(jian)排達到50%,最簡(jian)單的做法(fa)是讓每(mei)個企(qi)業(ye)的每(mei)臺燒結(jie)機產量都降低50%,如果(guo)采(cai)用限產方案計算方法(fa),則結(jie)果(guo)如下(xia)。將(jiang)以上數據分別代入(ru)式(12)和式(13),可(ke)以求(qiu)(qiu)得k=3;然(ran)后再將(jiang)k值(zhi)代入(ru)式(14)中,可(ke)以求(qiu)(qiu)得x=91.97%。
最后得到的(de)減產方案(an)為

結機D、B正常生產,燒結機A按照91.97%的(de)負荷生產。再將所(suo)得數據(ju)代(dai)入式(16)得到減產方案實施后燒結機的(de)實際減產比(bi)(bi)例η=45.27%。如果(guo)從兩個企(qi)業(ye)的(de)角(jiao)度(du)來看,企(qi)業(ye)1減產比(bi)(bi)例為30.49%,而企(qi)業(ye)2減產比(bi)(bi)例為59.02%,比(bi)(bi)起每家企(qi)業(ye)減產50%看,企(qi)業(ye)1比(bi)(bi)企(qi)業(ye)2在清(qing)潔(jie)生產水平(ping)方面(mian)整(zheng)體(ti)更有優勢。
4結論
(1)燒(shao)結煙氣(qi)污(wu)染(ran)物(wu)排放標準越(yue)來越(yue)嚴格,按(an)照基準氧計(ji)算污(wu)染(ran)物(wu)濃(nong)度將(jiang)會是標準修訂(ding)的(de)(de)趨勢,但排放標準應(ying)該考慮CO、VOCs等污(wu)染(ran)物(wu)的(de)(de)排放,同(tong)時(shi)兼顧相(xiang)關(guan)污(wu)染(ran)物(wu)檢(jian)(jian)測的(de)(de)可操作(zuo)性;污(wu)染(ran)物(wu)檢(jian)(jian)測中(zhong)需要(yao)明(ming)確(que)檢(jian)(jian)測的(de)(de)方法、條件(jian),避免(mian)檢(jian)(jian)測儀器管理和(he)使用中(zhong)的(de)(de)問題(ti)而造成檢(jian)(jian)測數據的(de)(de)偏(pian)差。
(2)對(dui)燒結煙氣污(wu)(wu)染(ran)物(wu)排放有兩(liang)種計算方法(fa)(fa),一(yi)種是折氧(yang)濃度計算法(fa)(fa),主要(yao)對(dui)污(wu)(wu)染(ran)物(wu)濃度有一(yi)個可(ke)比較、可(ke)評判的(de)標準;另一(yi)種是噸(dun)礦(kuang)計算法(fa)(fa),則是從(cong)污(wu)(wu)染(ran)物(wu)的(de)排放強度計算,從(cong)噸(dun)礦(kuang)污(wu)(wu)染(ran)物(wu)排放量可(ke)以看出燒結機整個的(de)清潔生產水平。
(3)首次(ci)提出了基于噸(dun)礦計算(suan)法(fa)的(de)燒(shao)(shao)結(jie)(jie)機限(xian)產(chan)(chan)方(fang)案計算(suan)方(fang)法(fa),運用該方(fang)法(fa)可以精確(que)計算(suan)出每(mei)個企業每(mei)臺燒(shao)(shao)結(jie)(jie)機的(de)限(xian)產(chan)(chan)量。在方(fang)法(fa)應用的(de)案例(li)中,實際燒(shao)(shao)結(jie)(jie)機減產(chan)(chan)比(bi)例(li)45.5%就(jiu)可以實現(xian)燒(shao)(shao)結(jie)(jie)機污染物減排50%的(de)需求,其中清潔生產(chan)(chan)水(shui)平(ping)高(gao)的(de)企業1減產(chan)(chan)比(bi)例(li)遠小于水(shui)平(ping)低(di)的(de)企業2。


需求溝通傾聽客戶需求,了解用戶使用環境和現場工況
方案設計根據現場實際工況,針對性出具解決方案
合同簽訂技術和商務規范確認,簽訂合作協議
產品制作選擇最優質的元器件,嚴格按照技術協議
調試安裝現場規范安裝,靜態動態調試,分析儀運行
售后服務后續維護,持續跟進,終身維修