優質的服務流程
· quality of service processes ·

需求溝通傾聽客戶需求,了解用戶使用環境和現場工況
方案設計根據現場實際工況,針對性出具解決方案
合同簽訂技術和商務規范確認,簽訂合作協議
產品制作選擇最優質的元器件,嚴格按照技術協議
調試安裝現場規范安裝,靜態動態調試,分析儀運行
售后服務后續維護,持續跟進,終身維修

全國熱線
銷售熱線
公司地址山(shan)東濟南(nan)市槐蔭區太(tai)平(ping)河南(nan)路(lu)1567號均和云(yun)谷濟南(nan)匯(hui)智(zhi)港6號樓

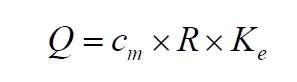
其中:
Q:排氣筒的允許排放速率,單(dan)位kg/h;
cm:環境(jing)質(zhi)量標(biao)準(zhun)(zhun)濃(nong)度限值(zhi)(zhi)(小時(shi)值(zhi)(zhi)),單位(wei)mg/m3。首先取GB3095-2012中所覆(fu)蓋(gai)污(wu)染(ran)(ran)物(wu)的(de)24小時(shi)平均(jun)濃(nong)度,其中不(bu)涵(han)蓋(gai)的(de)污(wu)染(ran)(ran)物(wu)再參考TJ36-79或(huo)前蘇(su)聯標(biao)準(zhun)(zhun)CH245-71標(biao)準(zhun)(zhun)中的(de)居(ju)住區大(da)氣中有害物(wu)質(zhi)的(de)最大(da)允許濃(nong)度,若以上標(biao)準(zhun)(zhun)中均(jun)不(bu)涵(han)蓋(gai)的(de)污(wu)染(ran)(ran)物(wu)則直(zhi)接參考北京或(huo)上海(hai)現行大(da)氣綜排中的(de)較嚴格(ge)的(de)排放速率。
R:排放系數,比如(ru)查標(biao)準江蘇地區(qu)15m和20m排氣筒分別取值為(wei)6和12;
Ke:地(di)區性經濟(ji)技術系(xi)數(shu),標準推(tui)薦取值為(wei)0.5~1.5,比如(ru)以江蘇非重點管控企業為(wei)例,可選經濟(ji)系(xi)數(shu)為(wei)1.0。


需求溝通傾聽客戶需求,了解用戶使用環境和現場工況
方案設計根據現場實際工況,針對性出具解決方案
合同簽訂技術和商務規范確認,簽訂合作協議
產品制作選擇最優質的元器件,嚴格按照技術協議
調試安裝現場規范安裝,靜態動態調試,分析儀運行
售后服務后續維護,持續跟進,終身維修