優質的服務流程
· quality of service processes ·

需求溝通傾聽客戶需求,了解用戶使用環境和現場工況
方案設計根據現場實際工況,針對性出具解決方案
合同簽訂技術和商務規范確認,簽訂合作協議
產品制作選擇最優質的元器件,嚴格按照技術協議
調試安裝現場規范安裝,靜態動態調試,分析儀運行
售后服務后續維護,持續跟進,終身維修

全國熱線
銷售熱線
公司地址山(shan)東濟南市槐(huai)蔭區太平河南路1567號均和云(yun)谷濟南匯智港6號樓
濕度對cems煙氣在線監測系統的影響
目前,CEMS主要為完全抽取式和稀釋法測量兩種方式,主要監測參數為SO2、NOx、顆(ke)粒(li)物濃(nong)度及煙氣參數O2、溫度、壓(ya)力、流速(su)和濕度,HJ/T75-2007中要求CEMS數(shu)據(ju)為手工輸入(ru)或者實時測量(liang),而HJ75-2017中明確(que)CEMS中必須監測濕度(du)(du)參數,說明濕度(du)(du)監測的重(zhong)要性,下面結合HJ75、76-2017標(biao)準和監測(ce)數據分析(xi)濕度(du)對CEMS監測數據的影響。
1、超低排(pai)放冷干法CEMS中樣(yang)氣濕度對污染物濃度及(ji)儀器零點形(xing)成(cheng)漂(piao)移。冷干法(fa)CEMS中SO2/NOx測(ce)量時(shi)樣氣(qi)經過預(yu)處理,已(yi)經將煙(yan)氣(qi)中的大部(bu)分(fen)水分(fen)進行去除,HJ76-2017要求除濕設備出(chu)口煙氣(qi)露(lu)點溫度≤4℃,并對除濕設備(bei)脫水率和(he)SO2組(zu)分丟(diu)失率進行了要求,實際使用(yong)中發現超低排放冷干法CEMS中使用非分(fen)散紅外(wai)吸收(shou)法分(fen)析儀(yi)(yi)的,零(ling)點校準采用空(kong)氣(qi)作(zuo)為零(ling)點氣(qi)進行校準的,受校準空(kong)氣(qi)中濕(shi)度影響零(ling)點會產(chan)生幾毫克每(mei)立(li)方米的漂(piao)移(yi),造成監測數據(ju)產(chan)生誤差(cha);在超低排放中紅外(wai)分(fen)析儀(yi)(yi)對零(ling)點校準氣(qi)及(ji)樣氣(qi)進行濕(shi)度處(chu)理是數據(ju)準確(que)的關鍵影響因素。
2、濕(shi)度數(shu)據影(ying)響污染(ran)物濃度換算(suan)。熱濕(shi)法和(he)稀(xi)釋(shi)法CEMS由(you)于樣氣中的(de)水分未予以處理(li)或(huo)
處(chu)理不徹底,監(jian)測的(de)SO2/NOx濃(nong)度為濕(shi)基濃(nong)度,需(xu)要(yao)根據監(jian)測的(de)煙(yan)氣濕(shi)度進行換(huan)算(suan),換(huan)算(suan)為干基濃(nong)度,計(ji)算(suan)公(gong)式如下:

假設(she)排放(fang)SO2濕基(ji)測量濃度20mg/m3,CEMS濕(shi)度采用(yong)抽取方式進(jin)行監測,監測數據在8%左右,其換算后的SO2干(gan)基濃度(du)=20/(1-8%)=21.7mg/m3,采(cai)用(yong)抽取式干濕球法進行濕度(du)測試濕度(du)數(shu)據6%,滿(man)足誤差≤±25%的要求,如果以(yi)6%的濕度進行(xing)干濕基換(huan)算,SO2干基濃度=20/(1-6%)=21.3mg/m3;采(cai)用將濕度傳感器插入煙道(dao)內進(jin)行濕度測試,測試濕度數據為10%,同樣滿足(zu)誤差≤±25%的要求,如果以10%的濕度進行干濕基(ji)換算,SO2干基濃度=20/(1-10%)=22.2
mg/m3;即濕度在6%和10%時SO2干基濃(nong)度相差0.9mg/m3,濕度越(yue)高折(zhe)算后的(de)干基濃度(du)越(yue)高。
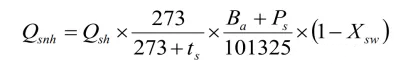
3、濕度監測數據(ju)影響標干流量數據(ju)。煙氣標干流量計(ji)算(suan)中(zhong)需要溫度(du)、壓力和濕度(du)進行折
標計算,計算公式如下(xia):

假設企業排放工況流量、溫度和壓力不變,CEMS濕度采用抽取方式進行監測,監測數在8%
左右,其換算后的標干流量=Qsh*(1-8%)=0.92Qsh,采用抽取式干濕球法進行濕度測試濕度數據6%,滿足誤差≤±25%的要求,如果以6%的濕度進行折標計算,標干流量=Qsh*(1-6%)
=0.94Qsh;采用將濕度傳感器插入煙道內進行濕度測試,測試濕度數據為10%,同樣滿足誤差≤±25%的要求,如果以10%的濕度進行折標計算,標干流量=Qsh*(1-10%)=0.9Qsh;即濕度越高折算后的標干流量越低。
4、冷干法CEMS采樣(yang)(yang)管線入口(kou)加裝磷酸滴定,采樣(yang)(yang)管線出口(kou)測量濕度的,存(cun)在涉嫌(xian)故意干擾濕度監測,減少(shao)監測污染(ran)物排放量(liang),規避環(huan)保稅的風險。冷干法CEMS測量(liang)的SO2/NOx數據(ju)為干基濃度(du),不需要進行(xing)干濕基換算(suan),采(cai)(cai)樣管(guan)線(xian)入(ru)口加(jia)裝磷酸滴定(ding),滴定(ding)的磷酸中大部(bu)分為水,經(jing)采(cai)(cai)樣管(guan)線(xian)加(jia)熱后(hou)增加(jia)了(le)樣氣(qi)中的濕度(du),采(cai)(cai)樣管(guan)線(xian)出口測量(liang)(liang)濕度(du)數(shu)(shu)據(ju)較(jiao)實(shi)(shi)際煙(yan)氣(qi)中濕度(du)數(shu)(shu)據(ju)偏(pian)高,造成煙(yan)氣(qi)標干流(liu)量(liang)(liang)數(shu)(shu)據(ju)較(jiao)實(shi)(shi)際濕度(du)下(xia)(xia)的標干煙(yan)氣(qi)流(liu)量(liang)(liang)偏(pian)低(di),通過污染物濃度(du)和(he)標干流(liu)量(liang)(liang)計算(suan)的排放(fang)量(liang)(liang)較(jiao)實(shi)(shi)際情況下(xia)(xia)偏(pian)低(di),以(yi)在(zai)線(xian)數(shu)(shu)據(ju)為依據(ju)進行(xing)申(shen)報(bao)環保稅時,存(cun)在(zai)少申(shen)報(bao)環保稅的嫌疑。
5、熱(re)濕法和(he)稀釋法CEMS采用抽取或稀釋后測量濕度,易形成濕度損失,造(zao)成(cheng)濕度數據偏低,污染物干基濃度偏低,比對監測污染物濃度誤差變大,形成監測數據失真的嫌疑。
山東新澤儀器有限公司研發的煙氣在線監測系統,采用二級冷凝快速除水、降溫,減少氣、水接觸時間,降低 SO2 損耗,配置樣氣濕度報警裝置,保護分析器不被水分污染。采樣探頭運用多級粉塵過濾技術與定時反吹相結合,有效解決探頭易堵塞的難題,適應高塵、高濕、高溫、高腐蝕性等惡劣環境;lm


需求溝通傾聽客戶需求,了解用戶使用環境和現場工況
方案設計根據現場實際工況,針對性出具解決方案
合同簽訂技術和商務規范確認,簽訂合作協議
產品制作選擇最優質的元器件,嚴格按照技術協議
調試安裝現場規范安裝,靜態動態調試,分析儀運行
售后服務后續維護,持續跟進,終身維修