優質的服務流程
· quality of service processes ·

需求溝通傾聽客戶需求,了解用戶使用環境和現場工況
方案設計根據現場實際工況,針對性出具解決方案
合同簽訂技術和商務規范確認,簽訂合作協議
產品制作選擇最優質的元器件,嚴格按照技術協議
調試安裝現場規范安裝,靜態動態調試,分析儀運行
售后服務后續維護,持續跟進,終身維修

全國熱線
銷售熱線
公司地址山東濟(ji)南(nan)市槐蔭區太平(ping)河(he)南(nan)路1567號(hao)均和云谷(gu)濟(ji)南(nan)匯(hui)智港6號(hao)樓
一(yi)、排氣中水(shui)分含量(liang)的(de)測(ce)定排氣中水(shui)分含量(liang)應(ying)根據不同的(de)測(ce)量(liang)對(dui)象選用冷(leng)凝法(fa)、干濕球法(fa)或重量(liang)法(fa)中的(de)一(yi)種方法(fa)測(ce)定。
1.冷凝法原理-由煙道中抽取一定體積的排氣使之通過冷凝器,根據冷凝出來的水量,加上從冷凝器排出的飽和氣體含有的水蒸汽量,計算排氣中的水分含量。
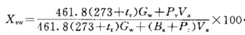
2.冷凝法計算公式

式中:Xsw排氣中的水分含量體積百分數,%;
Ba—大氣壓力,Pa;
Gw—冷凝器中的冷凝水量,g;
Pr—流量計前氣體壓力,Pa;
Pv—冷凝器出口飽和水蒸氣壓力(可根據冷凝器出口氣體溫度從空氣飽和時水蒸氣壓力表
中得)Pa;
tr—流量計前氣體溫度,℃;
Va—測量狀態下抽取煙氣的體積(Va,≈Qr×t),L。
3.干濕球法原理-使氣體在一定的速度下流經干、濕球溫度計。根據干、濕球溫度計的讀數和測點處排氣的壓力,計算出排氣的水分含量。
4.干濕球法計算公式

式中:Xsw—排氣中的水分含量體積百分數,%;
Pbv—溫度為時飽和水蒸氣壓力(根據值,由空氣飽和時水蒸氣壓力表中查得)Pa
tb—濕球溫度,℃;
tc—干球溫度,℃;
Qr—轉子流量計讀數,L/min;
t—采樣時間,min;
Pb—通過濕球溫度計表面的氣體壓力,Pa;
Ba—大氣壓力,Pa;
Ps—測點處排氣靜壓,Pa。
5.重量法原理-由煙道中抽取一定體積的排氣,使之通過裝有吸濕劑的吸濕管,排氣中的水分被吸濕劑吸收,吸濕管的增重即為已知體積排氣中含有的水分量。
6.重量法計算公式

式中:Xsw—排氣中的水分含量體積百分數,%;
Ba—大氣壓力,Pa;
Gm—吸濕管吸收的水分重量,g;
Vd—測量狀態下抽取煙氣的體積(Vd≈Qr×t),單位L。
Qr—轉子流量計讀數,L/min;
t—采樣時間,min;
tr—流量計前氣體溫度,℃;
Pr—流量計前氣體壓力,Pa;
1.24—在標準狀態下,1g水蒸氣所占有的體積,單位L。
二、排氣密度和氣體分子量的計算
1.排氣密度和其分子量、氣溫壓力的關系由下式計算

式中:ρs—排氣的密度,kg/m3;
Ms—排氣氣體的分子量,kg/kmol;
Ba—大氣壓力,Pa;
Ps—排氣的靜壓,Pa;
ts—排氣的溫度,℃。

2.標準狀態下濕排氣的密度按下式計算

式中:ρn—標準狀態下濕排氣的密度,kg/m3
Ms—濕排氣氣體的分子量,kg/kmol;
Mo2,Mco、Mco2、MN2、MH2o—排氣中氧、一氧化碳、二氧化碳、氮氣和水的分子量,kg/kmol;
Xo2、Xco、Xco2、Xn2—干排氣中氧、一氧化碳、二氧化碳、氮氣的體積百分數,%;
Xsw排氣中的水分含量體積百分數,%。
3.測量狀態下煙道內濕排氣的密度按下式計算

式中:ρs—測量狀態下煙道內濕排氣的密度,kg/m3
ρn—標準狀態下濕排氣的密度,kg/m3
Ps—排氣的靜壓,Pa;
Ba—大氣壓力,Pa;
Ps—排氣的靜壓,Pa;
ts—排氣的溫度,℃。
4.排氣氣體分子量的計算
已知各成分氣體的體積百分數X和其分子量M排氣氣體的分子量按下式計算

式中;Ms—排氣氣體的分子量,kg/kmol;
Xi—某一成分氣體的體積百分數,%;
Mi某一成分氣體的分子量,kg/kmol
5.干排氣氣體分子量的計算

6.濕排氣氣體分子量的計算

三、流速測定原理-排氣的流速與其動壓平方根成正比,根據測得某測點處的動壓、靜壓以及溫度等參數。
1.測點排氣流速的計算:

2.當干排氣成分與空氣近似,排氣露點溫度在35~55℃之間、排氣的絕對壓力在97~103kPa之間時,Vs可按下式計算:

3.對于接近常溫、常壓條件下(t=20℃,Bs+Ps=101300Pa),通風管道的空氣流速Va按下式計算:

式中:Vs—濕排氣的氣體流速,m/s;
Va—常溫常壓下通風管道的空氣流速,m/s;
Ba—大氣壓力,Pa;
Kp—皮托管修正系數;
Pd—排氣動壓,Pa;
Ps—排氣靜壓,Pa;
ρs—濕排氣的密度,kg/m;
Ms—濕排氣的分子量,kg/kmol;
ts—排氣溫度,℃。
4.排氣流量的計算:
工況下的濕排氣流量Qs按下式算:

式中:Qs—工況下濕排氣流量,m/h;
F—測定斷面面積,m;
s測定斷面的濕排氣平均流速,m/s。
5.標準狀態下干排氣流量Qsn按下式計算

式中:Qsn—標準狀態下干排氣流量,m/h;
Ba—大氣壓力,Pa;
Ps—排氣靜壓,Pa;
ts—排氣溫度,℃。
Xsw—排氣中的水分含量體積百分數,%。
6.常溫常壓條件下,通風管道中的空氣流量Qa按下式計算:

式(shi)中:Qa—通氣管道中的空氣流量(liang),m3/h;

來源:本(ben)文中公式均摘選(xuan)自(zi)GBT/16157- 1996

需求溝通傾聽客戶需求,了解用戶使用環境和現場工況
方案設計根據現場實際工況,針對性出具解決方案
合同簽訂技術和商務規范確認,簽訂合作協議
產品制作選擇最優質的元器件,嚴格按照技術協議
調試安裝現場規范安裝,靜態動態調試,分析儀運行
售后服務后續維護,持續跟進,終身維修